Skip to contents
Code
library(NACCADRC)
library(ggplot2)
library(tidyverse)
library(nlme)
library(data.table)
library(gtsummary)
library(UpSetR)
library(patchwork)
library(sva)

data(mrisbm, taupetnpdka, phc_cognition, amyloidpetgaain, 
uds_ftldlbd, clariti_edc, uds_mri)

# Data print function
datatable <- function(data, paging = FALSE, searchable = TRUE, bInfo = FALSE, ...) {
  DT::datatable(
    data = data, ...,
    options = list(paging = paging, searchable = searchable, bInfo = bInfo, ...))
}

theme_set(theme_minimal())

scale_colour_discrete <-
  function(...) ggsci::scale_color_jama()
scale_fill_discrete <-
  function(...) ggsci::scale_fill_jama()

cohort_color <- c(CLARiTI = "#C02126", SCAN = "#173058", "Mixed protocol" = "#42B540FF", "SCAN MP" = "#42B540FF")

Merge key imaging and PHC cognitive data

Code
## Combine hippocampal volume from SCAN and Mixed Protocol (UDS) ----
mri_hipp <- mrisbm %>%          # SCAN volumes
  select(SOURCE, NACCID, DATE = SCANDT, HIPPOCAMPUS, ICV = CEREBRUMTCV) %>%
  bind_rows(uds_mri %>%         # Mixed Protocol (UDS) volumes
    select(NACCID, MRIYR, MRIMO, MRIDY, HIPPOCAMPUS = HIPPOVOL, ICV = NACCICV) %>%
    filter(HIPPOCAMPUS != 88.8888, ICV != 9999.999, !is.na(HIPPOCAMPUS)) %>%
    mutate(
      DATE = as.IDate(paste(MRIYR, MRIMO, MRIDY, sep='-')),
      SOURCE = 'Mixed protocol')) %>%
  distinct(NACCID, DATE, .keep_all = TRUE)

NACCETPR_levels <- names(rev(sort(table(uds_ftldlbd$NACCETPR))))

## Combine hipp volume, tau PET, amyloid PET, cognition, and demographics ----
dd_atn <- clariti_edc %>% 
  select(NACCID) %>% distinct() %>% mutate(`CLARiTI EDC` = 'Yes') %>%
  full_join(mri_hipp %>%                 # Hippocampal volumes
      select(NACCID, MRI_SOURCE = SOURCE, DATE, HIPPOCAMPUS, ICV),
    by = 'NACCID') %>%
  full_join(taupetnpdka %>%
      arrange(NACCID, SCANDATE, desc(PROCESSDATE)) %>%
      distinct(NACCID, SCANDATE, .keep_all = TRUE) %>%
      select(NACCID, DATE = SCANDATE, Tau_PET = META_TEMPORAL_SUVR, 
        CTX_ENTORHINAL_SUVR, Tau_TRACER = TRACER, Tau_SOURCE = SOURCE) %>%
      distinct(NACCID, DATE, .keep_all = TRUE),
    by = c('NACCID', 'DATE')) %>%
  full_join(amyloidpetgaain %>%          # Amyloid PET
      arrange(NACCID, SCANDATE, desc(PROCESSDATE)) %>%
      distinct(NACCID, SCANDATE, .keep_all = TRUE) %>%
      select(NACCID, DATE = SCANDATE, AMYLOID_STATUS, CENTILOIDS, 
        Amyloid_TRACER = TRACER, Amyloid_SOURCE = SOURCE) %>%
      distinct(NACCID, DATE, .keep_all = TRUE),
    by = c('NACCID', 'DATE')) %>%
  full_join(phc_cognition %>%            # Harmonized cognition
      select(NACCID, NACCVNUM, PHC_MEM, PHC_EXF, PHC_LAN) %>%
      distinct(NACCID, NACCVNUM, .keep_all = TRUE) %>%
      left_join(uds_ftldlbd %>%          # UDS visit dates
          select(NACCID, NACCVNUM, DATE = VISITDATE),
        by = c('NACCID', 'NACCVNUM')) %>%
      distinct(NACCID, DATE, .keep_all = TRUE),
    by = c('NACCID', 'DATE')) 

stopifnot(with(dd_atn, !any(duplicated(paste(NACCID, DATE)))))

dd <- dd_atn %>%
  full_join(uds_ftldlbd %>%              # UDS diagnosis, etiology over time
      filter(NACCID %in% c(dd_atn$NACCID, clariti_edc$NACCID)) %>%
      mutate(
        NACCETPR = factor(NACCETPR, levels = NACCETPR_levels)) %>%
      select(NACCID, DATE = VISITDATE, NACCUDSD, NACCETPR, PARK) %>%
      distinct(NACCID, DATE, .keep_all = TRUE),
    by = c('NACCID', 'DATE')) %>%
  left_join(uds_ftldlbd %>%              # UDS demographics
      mutate(BIRTHDATE = as.IDate(paste(BIRTHYR, BIRTHMO, 15, sep = '-'))) %>%
      filter(!is.na(BIRTHDATE)) %>%
      arrange(NACCID, NACCVNUM) %>%
      select(NACCID, BIRTHDATE, RACE, SEX = NACCSEX, EDUC, HISPANIC = NACCHISP) %>%
      group_by(NACCID) %>%               # Carry information back/forward
      tidyr::fill(.direction = "updown") %>% # to impute missing data
      ungroup() %>%
      filter(!duplicated(NACCID)),       # One row of demographics per NACCID
    by = 'NACCID') %>%
  arrange(NACCID, DATE) %>%
  group_by(NACCID) %>%                   # Carry Dx information forward/back
  tidyr::fill(all_of(c("NACCUDSD", "NACCETPR", "PARK")), .direction = "downup") %>%
  mutate(ICV = mean(ICV, na.rm = TRUE)) %>% # Average ICV over visits
  ungroup() %>%
  mutate(
    Age = as.numeric(DATE - BIRTHDATE)/365.25,
    Etiology = case_when(                     # Simplified/collapse diagnosis
      NACCETPR == "Alzheimer's disease (AD)" ~ 'AD',
      NACCETPR == 'Lewy body disease (LBD)' | PARK == 'Yes' ~ 'LBD',
      NACCETPR %in% c("FTLD, other", "FTLD with motor neuron disease (e.g., ALS)") ~ 
        "FTLD (any)",
      NACCETPR == "Vascular brain injury or vascular dementia including stroke" ~ "Vascular",
      NACCETPR == 'Not applicable, not cognitively impaired' ~ 'Not impaired',
      TRUE ~ 'Other') %>%
      factor(levels = c('Not impaired', 'LBD', "FTLD (any)", 'AD', "Vascular", 'Other')),
    NACCUDSD = case_when(
      is.na(NACCUDSD) ~ 'Unknown',
      TRUE ~ NACCUDSD) %>%
      factor(levels = c("Normal cognition", "Impaired-not-MCI", 
        "MCI", "Dementia", 'Unknown')))

stopifnot(with(dd, !any(duplicated(paste(NACCID, DATE)))))

CLARiTI_id <- dd %>%
  filter(MRI_SOURCE == 'CLARiTI' | Tau_SOURCE == 'CLARiTI' | Amyloid_SOURCE == 'CLARiTI') %>%
  pull(NACCID) %>% unique()

SCAN_id <- dd %>%
  filter(MRI_SOURCE == 'SCAN' | Tau_SOURCE == 'SCAN' | Amyloid_SOURCE == 'SCAN') %>%
  pull(NACCID) %>% unique() %>%
  setdiff(CLARiTI_id)

Mixed_id <- setdiff(dd$NACCID, c(CLARiTI_id, SCAN_id))

# harmonize tau PET data ----
tmp <- dd %>% filter(!is.na(Tau_PET) & !is.na(Age))
tmp$Tau_PET_ComBat <- sva::ComBat(
  dat=t(tmp[, c('Tau_PET', 'CTX_ENTORHINAL_SUVR')]), 
  batch=tmp$Tau_TRACER, 
  mod=model.matrix(~-1 + Age, tmp), par.prior=TRUE, prior.plots=FALSE)[1,]

dd <- dd %>%
  left_join(tmp %>% select(NACCID, DATE, Tau_PET_ComBat), 
    by = c('NACCID', 'DATE'))

# x-sectional data ----
dd_cross <- dd %>%
  group_by(NACCID) %>%
  fill(everything(), .direction = "updown") %>%
  filter(!duplicated(NACCID)) %>%
  ungroup() %>%
  mutate(    # add labels for tables
    Cohort = case_when(
      NACCID %in% clariti_edc$NACCID ~ 'CLARiTI',
      NACCID %in% CLARiTI_id ~ 'CLARiTI',
      NACCID %in% SCAN_id ~ 'SCAN',
      TRUE ~ 'Mixed protocol') %>%
      factor(levels = c('CLARiTI', 'SCAN', 'Mixed protocol')),
    PHC_MEM = structure(PHC_MEM, label = 'Harmonized Memory'),
    PHC_EXF = structure(PHC_EXF, label = 'Harmonized Exec Function'), 
    PHC_LAN = structure(PHC_LAN, label = 'Harmonized Language'),
    EDUC = structure(EDUC, label = 'Education (yrs)'),
    Age = structure(Age, label = 'Age (yrs)'),
    SEX = structure(SEX, label = 'Sex'),
    RACE = structure(RACE, label = 'Race'),
    HISPANIC = structure(HISPANIC, label = 'Hispanic'),
    AMYLOID_STATUS = structure(AMYLOID_STATUS, label = 'Amyloid status'),
    CENTILOIDS = structure(CENTILOIDS, label = 'Amyloid (CL)'),
    HIPPOCAMPUS = structure(HIPPOCAMPUS, label = 'Hippocampal volume (mm3)'),
    Tau_PET = structure(Tau_PET, label = 'Tau PET (SUVR)'),
    Tau_PET_ComBat = structure(Tau_PET_ComBat, label = 'Tau PET (SUVR)'),
    Tau_TRACER = structure(Tau_TRACER, label = 'Tau PET tracer'),
    NACCETPR = structure(NACCETPR, label = 'Primary etiologic diagnosis'),
    NACCUDSD = structure(NACCUDSD, label = 'Cognitive status at UDS visit'))

Summarize data collection

CLARiTI imaging distributions

Code
dd_cross %>%
  filter(Cohort == 'CLARiTI') %>%
  filter(NACCUDSD != 'Unknown') %>%
  mutate(
    Diagnosis = case_when(
      NACCUDSD == "Normal cognition" ~ "NC",
      NACCETPR == "Alzheimer's disease (AD)" ~ "CI-AD",
      TRUE ~ "CI-nonAD") %>% factor(c("NC", "CI-AD", "CI-nonAD"))) %>%
  filter(!is.na(Diagnosis), !is.na(CENTILOIDS), !is.na(Tau_PET_ComBat),
    !is.na(HIPPOCAMPUS)) %>%
  select(NACCID, Diagnosis, 
    `Amyloid (CL)` = CENTILOIDS, 
    `Tau PET MTL (SUVR)` = Tau_PET_ComBat, 
    `Hippocampal volume (mm3)` = HIPPOCAMPUS) %>%
  pivot_longer(`Amyloid (CL)`:`Hippocampal volume (mm3)`, 
    names_to = 'Measure', values_to = 'Value') %>%
ggplot(aes(x = Diagnosis, y = Value)) +
  geom_violin(fill = "gray80", color = "gray50") +
  ggbeeswarm::geom_beeswarm(color = "blue", alpha = 0.5) +
  facet_wrap(vars(Measure), nrow = 1, scales = 'free', strip.position = "left") +
  labs(x = "", y = "") +
  theme(legend.position = "none", strip.placement = "outside")
Figure 1: Distribution of imaging summaries among CLARiTI participants with known UDS cognitive status, amyloid PET (CL), hippocampal volume (mm3^3), and tau PET (SUVR). Tau PET is shown as SUVR harmonized across tracers by ComBat.

Bar charts

Code
plot_data <- dd_cross %>% 
  filter(Cohort == 'CLARiTI') %>%
  filter(NACCUDSD != 'Unknown') %>%
  mutate(across(where(is.factor), fct_drop)) %>%
  group_by(NACCUDSD, Etiology) %>%
  summarise(n = n(), .groups = "drop")
ggplot(plot_data, aes(x = n, y = Etiology)) +
  geom_bar(stat = "identity", fill = cohort_color["CLARiTI"]) +
  geom_text(aes(label = n), hjust = -0.2, size = 3) +
  expand_limits(x = max(plot_data$n) * 1.2) +
  facet_wrap(vars(NACCUDSD)) +
  labs(y = "", x = "Count (N)")
Figure 2: Number of CLARiTI pariticpants by etiology and UDS clinical diagnosis.
Code
count_data <- dd_cross %>% 
  filter(NACCUDSD != 'Unknown') %>%
  mutate(across(where(is.factor), fct_drop)) %>%
  group_by(NACCUDSD, Etiology) %>%
  summarise(n = n(), .groups = "drop")

dd_cross %>% 
  filter(NACCUDSD != 'Unknown') %>%
  mutate(across(where(is.factor), fct_drop)) %>%
  group_by(NACCUDSD, Etiology, Cohort) %>%
  summarise(n = n(), .groups = "drop") %>%
ggplot(aes(x = n, y = Etiology)) +
  geom_bar(aes(fill = Cohort), stat = "identity") +
  geom_text(data = count_data, aes(label = n), 
    hjust = -0.2, size = 3) +
  expand_limits(x = max(count_data$n) * 1.2) +
  facet_wrap(vars(NACCUDSD)) +
  labs(y = "", x = "Count (N)") +
  scale_fill_manual(values = cohort_color)
Figure 3: Number of pariticpants including CLARiTI, SCAN, and mixed-protocol by etiology and UDS clinical diagnosis.
Code
count_data <- dd_cross %>% 
  filter(NACCUDSD != 'Unknown' & !is.na(CENTILOIDS)) %>%
  mutate(across(where(is.factor), fct_drop)) %>%
  group_by(NACCUDSD, Etiology) %>%
  summarise(n = n(), .groups = "drop")

dd_cross %>% 
  filter(NACCUDSD != 'Unknown' & !is.na(CENTILOIDS)) %>%
  mutate(across(where(is.factor), fct_drop)) %>%
  group_by(NACCUDSD, Etiology, Cohort) %>%
  summarise(n = n(), .groups = "drop") %>%
ggplot(aes(x = n, y = Etiology)) +
  geom_bar(aes(fill = Cohort), stat = "identity") +
  geom_text(data = count_data, aes(label = n), 
    hjust = -0.2, size = 3) +
  expand_limits(x = max(count_data$n) * 1.2) +
  facet_wrap(vars(NACCUDSD)) +
  labs(y = "", x = "Count (N)") +
  scale_fill_manual(values = cohort_color)
Figure 4: Number of pariticpants with amyloid PET, including CLARiTI, SCAN, and mixed-protocol by etiology and UDS clinical diagnosis.
Code
count_data <- dd_cross %>% 
  filter(NACCUDSD != 'Unknown' & !is.na(Tau_PET)) %>%
  mutate(across(where(is.factor), fct_drop)) %>%
  group_by(NACCUDSD, Etiology) %>%
  summarise(n = n(), .groups = "drop")

dd_cross %>% 
  filter(NACCUDSD != 'Unknown' & !is.na(Tau_PET)) %>%
  mutate(across(where(is.factor), fct_drop)) %>%
  group_by(NACCUDSD, Etiology, Cohort) %>%
  summarise(n = n(), .groups = "drop") %>%
ggplot(aes(x = n, y = Etiology)) +
  geom_bar(aes(fill = Cohort), stat = "identity") +
  geom_text(data = count_data, aes(label = n), 
    hjust = -0.2, size = 3) +
  expand_limits(x = max(count_data$n) * 1.2) +
  facet_wrap(vars(NACCUDSD)) +
  labs(y = "", x = "Count (N)") +
  scale_fill_manual(values = cohort_color)
Figure 5: Number of pariticpants with tau PET, including CLARiTI, SCAN, and mixed-protocol by etiology and UDS clinical diagnosis.

UpSet plots

Code
dd_upset <- dd_cross %>%
  mutate(
    `CLARiTI EDC` = case_when(`CLARiTI EDC` == 'Yes' ~ 1, TRUE ~ 0),
    Diagnosis = case_when(!is.na(NACCUDSD) &  NACCUDSD != "Unknown" ~ 1, TRUE ~ 0),
    MRI = case_when(!is.na(HIPPOCAMPUS) ~ 1, TRUE ~ 0),
    `Amyloid PET` = case_when(!is.na(CENTILOIDS) ~ 1, TRUE ~ 0),
    `Tau PET` = case_when(!is.na(Tau_PET) ~ 1, TRUE ~ 0)) %>%
  select(NACCID, Cohort, `CLARiTI EDC`, Diagnosis:`Tau PET`) %>%
  as.data.frame()

# Output list CLARiTI participants with missing data for QC ----
if(FALSE){
  qc_dir <- file.path('..', 'reports', 'qc')
  dir.create(qc_dir, recursive = TRUE)
  dd_upset %>% 
    rowwise() %>%
    filter(`CLARiTI EDC` == 1, sum(c_across(MRI:`Tau PET`)) == 0) %>%
    write.csv(file.path(qc_dir, "clariti_edc_no_imaging_participants.csv"), row.names = FALSE)
  
  dd_upset %>% 
    rowwise() %>%
    filter(`CLARiTI EDC` == 1, sum(c_across(Diagnosis:`Tau PET`)) == 0) %>%
    write.csv(file.path(qc_dir, "clariti_edc_only_participants.csv"), row.names = FALSE)
  
  dd_upset %>% 
    filter(Cohort == 'CLARiTI') %>%
    write.csv(file.path(qc_dir, "clariti_participants.csv"), row.names = FALSE)
}

# UpSet plot of CLARiTI participants ----
upset(subset(dd_upset, Cohort == 'CLARiTI'), nsets = 7, nintersects = 30, mb.ratio = c(0.5, 0.5),
  order.by = c("freq", "degree"), decreasing = c(TRUE,FALSE))
Figure 6: UpSet plot of CLARiTI participants.
Code
upset(subset(dd_upset, Cohort %in% c('CLARiTI', 'SCAN')), 
  nsets = 7, nintersects = 30, mb.ratio = c(0.5, 0.5),
  order.by = c("freq", "degree"), decreasing = c(TRUE,FALSE))
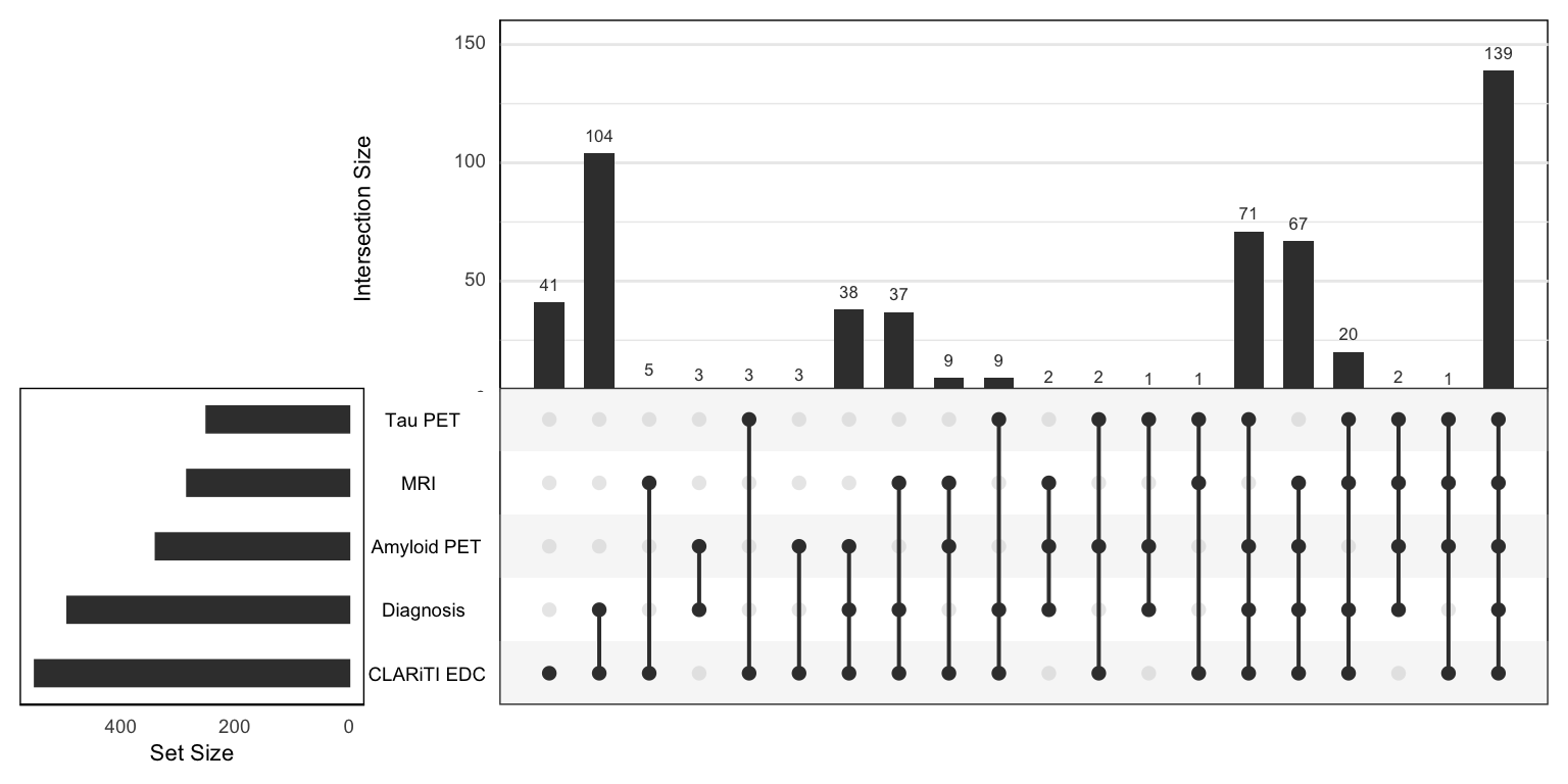
Figure 7: UpSet plot of CLARiTI and SCAN participants.
Code
upset(dd_upset, nsets = 7, nintersects = 30, mb.ratio = c(0.5, 0.5),
  order.by = c("freq", "degree"), decreasing = c(TRUE,FALSE))
Figure 8: UpSet plot of all participants.

Scan counts

Code
tmp <- dd %>% 
  select(NACCID, CENTILOIDS, HIPPOCAMPUS, Tau_PET_ComBat) %>%
  rename(
    `Amyloid PET` = CENTILOIDS, `Volumetric MRI` = HIPPOCAMPUS, 
    `Tau PET` = Tau_PET_ComBat) %>%
  group_by(NACCID) %>%
  pivot_longer(`Amyloid PET`:`Tau PET`) %>%
  filter(!is.na(value)) %>%
  mutate(Type = factor(name, levels = c(
    "Amyloid PET", "Tau PET", "Volumetric MRI"))) %>%
  group_by(Type, NACCID) %>%
  summarise(`Serial scans` = n())

with(tmp, table(Type, `Serial scans`)) %>% 
  knitr::kable(caption = "Number of individuals who have received the given number serial scans for each scan type.")
Table 1: Number of individuals who have received the given number serial scans for each scan type.
1 2 3 4 5 6 7 9
Amyloid PET 3665 494 40 7 0 0 0 0
Tau PET 2107 293 27 2 0 0 0 0
Volumetric MRI 5175 1310 470 122 27 18 3 1

Cummulative scans by time from first scan

Code
dd %>% 
  select(NACCID, Age, Etiology, NACCUDSD, NACCETPR,
    CENTILOIDS, HIPPOCAMPUS, Tau_PET_ComBat) %>%
  rename(
    `Amyloid PET` = CENTILOIDS, `Volumetric MRI` = HIPPOCAMPUS, 
    `Tau PET` = Tau_PET_ComBat) %>%
  pivot_longer(`Amyloid PET`:`Tau PET`) %>%
  filter(!is.na(value), !is.na(Age), !is.na(NACCUDSD)) %>%
  mutate(Type = factor(name, levels = c(
    "Amyloid PET", "Tau PET", "Volumetric MRI"))) %>%
  group_by(NACCID, Type) %>%
  mutate(
    Age0 = min(Age, na.rm = TRUE),
    `Initial Dx` = case_when(
      Age == Age0 ~ NACCUDSD,
      TRUE ~ NA),
    Years = Age - Age0) %>%
  arrange(NACCID, Years) %>%
  tidyr::fill(all_of("Initial Dx"), .direction = "down") %>%
  group_by(Type, Years) %>%
  summarise(count = n()) %>%
  mutate(`Cumulative count` = cumsum(count)) %>%
ggplot(aes(x=Years, y=`Cumulative count`, color = Type)) +
  geom_line() +
  xlab('Years from first scan of each type')
Figure 9: Cumulative scans by time from first scan of each scan type.

Baseline characteristics

CLARiTI participants

Code
tbl_summary(
  data = dd_cross %>% filter(Cohort == 'CLARiTI') %>%
    mutate(across(where(is.factor), fct_drop)),
  by = NACCUDSD,
  include = c("CLARiTI EDC", "Etiology", "Age", "SEX", "EDUC", "RACE", "HISPANIC", "AMYLOID_STATUS", "CENTILOIDS", "HIPPOCAMPUS", "Tau_PET", "Tau_TRACER", "PHC_MEM", "PHC_EXF", "PHC_LAN"),
  type = all_continuous() ~ "continuous2",
  statistic = list(
    all_continuous() ~ c(
      "{mean} ({sd})",
      "{median} ({p25}, {p75})",
      "{min}, {max}"),
    all_categorical() ~ "{n} ({p}%)"),
  digits = all_continuous() ~ 1,
  percent = "row",
  missing_text = "(Missing)") %>%
  add_overall(last = TRUE) %>%
  add_stat_label(label = all_continuous2() ~ c("Mean (SD)", "Median (Q1, Q3)", "Range")) %>%
  modify_caption(caption = "Characteristics of CLARiTI participants by baseline UDS diagnosis. Note CLARiTI participants are those with a NACCID in clariti_edc or any of the CLARiTI imaging summary files.") %>%
  modify_footnote_header(
    footnote = "Row-wise percentage; n (%)",
    columns = all_stat_cols(),
    replace = TRUE) %>%
  bold_labels()
Table 2: Characteristics of CLARiTI participants by baseline UDS diagnosis. Note CLARiTI participants are those with a NACCID in clariti_edc or any of the CLARiTI imaging summary files.
Characteristic Normal cognition
N = 3111
Impaired-not-MCI
N = 221
MCI
N = 1241
Dementia
N = 361
Unknown
N = 651
Overall
N = 5581
CLARiTI EDC, n (%)





    Yes 304 (55%) 22 (4.0%) 124 (23%) 35 (6.4%) 65 (12%) 550 (100%)
    (Missing) 7 0 0 1 0 8
Etiology, n (%)





    Not impaired 309 (100%) 0 (0%) 0 (0%) 0 (0%) 0 (0%) 309 (100%)
    LBD 2 (17%) 0 (0%) 8 (67%) 2 (17%) 0 (0%) 12 (100%)
    FTLD (any) 0 (0%) 0 (0%) 0 (0%) 4 (100%) 0 (0%) 4 (100%)
    AD 0 (0%) 5 (5.4%) 64 (69%) 24 (26%) 0 (0%) 93 (100%)
    Vascular 0 (0%) 1 (25%) 3 (75%) 0 (0%) 0 (0%) 4 (100%)
    Other 0 (0%) 16 (12%) 49 (36%) 6 (4.4%) 65 (48%) 136 (100%)
Age (yrs)





    Mean (SD) 67.6 (7.0) 68.8 (6.6) 69.7 (7.5) 71.3 (10.0) NA (NA) 68.4 (7.5)
    Median (Q1, Q3) 67.8 (63.1, 72.5) 70.0 (62.9, 73.5) 69.9 (64.5, 74.7) 70.2 (63.8, 80.5) NA (NA, NA) 68.6 (63.6, 73.2)
    Range 43.2, 89.3 55.4, 77.7 49.8, 87.0 52.4, 89.3 Inf, -Inf 43.2, 89.3
    (Missing) 0 0 0 0 65 65
Sex, n (%)





    Male 101 (50%) 13 (6.5%) 69 (34%) 18 (9.0%) 0 (0%) 201 (100%)
    Female 210 (72%) 9 (3.1%) 55 (19%) 18 (6.2%) 0 (0%) 292 (100%)
    (Missing) 0 0 0 0 65 65
Education (yrs)





    Mean (SD) 16.6 (2.4) 15.7 (3.1) 16.2 (3.0) 16.2 (2.8) NA (NA) 16.4 (2.6)
    Median (Q1, Q3) 16.0 (16.0, 18.0) 16.0 (14.0, 18.0) 16.0 (14.0, 18.0) 16.0 (14.0, 18.0) NA (NA, NA) 16.0 (15.0, 18.0)
    Range 11.0, 25.0 9.0, 20.0 5.0, 22.0 11.0, 20.0 Inf, -Inf 5.0, 25.0
    (Missing) 1 0 1 0 65 67
Race, n (%)





    White 217 (63%) 11 (3.2%) 87 (25%) 30 (8.7%) 0 (0%) 345 (100%)
    Black or African American 56 (61%) 10 (11%) 24 (26%) 2 (2.2%) 0 (0%) 92 (100%)
    American Indian or Alaska Native 5 (83%) 0 (0%) 1 (17%) 0 (0%) 0 (0%) 6 (100%)
    Asian 13 (81%) 0 (0%) 2 (13%) 1 (6.3%) 0 (0%) 16 (100%)
    Other (specify) 3 (75%) 0 (0%) 1 (25%) 0 (0%) 0 (0%) 4 (100%)
    Unknown 2 (67%) 0 (0%) 1 (33%) 0 (0%) 0 (0%) 3 (100%)
    (Missing) 15 1 8 3 65 92
Hispanic, n (%)





    No 277 (63%) 18 (4.1%) 111 (25%) 34 (7.7%) 0 (0%) 440 (100%)
    Yes 33 (65%) 3 (5.9%) 13 (25%) 2 (3.9%) 0 (0%) 51 (100%)
    Unknown 1 (50%) 1 (50%) 0 (0%) 0 (0%) 0 (0%) 2 (100%)
    (Missing) 0 0 0 0 65 65
Amyloid status, n (%)





    Negative 122 (65%) 9 (4.8%) 42 (22%) 8 (4.2%) 8 (4.2%) 189 (100%)
    Positive 86 (58%) 3 (2.0%) 37 (25%) 16 (11%) 7 (4.7%) 149 (100%)
    (Missing) 103 10 45 12 50 220
Amyloid (CL)





    Mean (SD) 20.5 (38.6) 7.3 (36.5) 29.8 (37.6) 52.0 (47.5) 20.3 (30.8) 24.5 (39.5)
    Median (Q1, Q3) 7.0 (-6.0, 37.5) 0.0 (-14.0, 22.5) 10.0 (-1.0, 60.0) 54.0 (4.0, 77.0) 11.0 (-3.0, 36.0) 8.0 (-3.0, 50.0)
    Range -39.0, 177.0 -34.0, 93.0 -20.0, 140.0 -20.0, 157.0 -8.0, 101.0 -39.0, 177.0
    (Missing) 103 10 45 12 50 220
Hippocampal volume (mm3)





    Mean (SD) 6.6 (0.7) 6.6 (0.9) 6.1 (0.8) 6.0 (1.2) 6.6 (0.6) 6.4 (0.8)
    Median (Q1, Q3) 6.5 (6.1, 7.0) 6.6 (6.1, 7.4) 6.1 (5.5, 6.7) 6.4 (5.2, 6.7) 6.4 (6.1, 7.2) 6.5 (5.9, 7.0)
    Range 4.5, 8.4 5.1, 7.9 4.6, 7.9 4.0, 8.1 5.4, 7.5 4.0, 8.4
    (Missing) 132 14 61 19 49 275
Tau PET (SUVR)





    Mean (SD) 1.2 (0.3) 1.2 (0.2) 1.4 (0.4) 2.1 (1.1) 1.2 (0.1) 1.3 (0.4)
    Median (Q1, Q3) 1.2 (1.1, 1.3) 1.2 (1.1, 1.3) 1.3 (1.2, 1.5) 2.0 (1.2, 2.4) 1.2 (1.2, 1.2) 1.2 (1.1, 1.3)
    Range 0.9, 3.2 0.8, 1.5 1.0, 2.7 1.0, 4.4 0.9, 1.3 0.8, 4.4
    (Missing) 152 12 66 21 58 309
Tau PET tracer, n (%)





    Flortaucipir 61 (55%) 3 (2.7%) 32 (29%) 9 (8.2%) 5 (4.5%) 110 (100%)
    MK6240 98 (71%) 7 (5.0%) 26 (19%) 6 (4.3%) 2 (1.4%) 139 (100%)
    (Missing) 152 12 66 21 58 309
Harmonized Memory





    Mean (SD) 1.0 (0.5) 0.5 (0.4) 0.2 (0.6) -0.2 (0.7) 0.8 (NA) 0.7 (0.6)
    Median (Q1, Q3) 0.9 (0.6, 1.3) 0.6 (0.1, 0.9) 0.3 (-0.1, 0.6) -0.4 (-0.7, 0.4) 0.8 (0.8, 0.8) 0.7 (0.4, 1.1)
    Range -0.3, 2.7 -0.1, 1.0 -1.5, 1.5 -1.2, 1.6 0.8, 0.8 -1.5, 2.7
    (Missing) 71 11 43 17 64 206
Harmonized Exec Function





    Mean (SD) 0.8 (0.6) -0.1 (0.6) 0.2 (0.7) -0.3 (0.7) 0.1 (NA) 0.6 (0.7)
    Median (Q1, Q3) 0.8 (0.4, 1.2) 0.1 (-0.4, 0.2) 0.1 (-0.2, 0.7) -0.3 (-0.8, 0.1) 0.1 (0.1, 0.1) 0.6 (0.1, 1.1)
    Range -1.1, 2.4 -1.3, 0.7 -1.4, 1.9 -1.4, 1.0 0.1, 0.1 -1.4, 2.4
    (Missing) 71 11 43 17 64 206
Harmonized Language





    Mean (SD) 1.0 (0.6) 0.3 (0.5) 0.4 (0.5) -0.1 (0.6) 1.7 (NA) 0.8 (0.7)
    Median (Q1, Q3) 1.0 (0.6, 1.4) 0.1 (0.0, 0.6) 0.4 (0.0, 0.8) 0.1 (-0.6, 0.3) 1.7 (1.7, 1.7) 0.8 (0.3, 1.2)
    Range -0.4, 2.7 -0.6, 1.3 -1.0, 1.4 -1.0, 0.7 1.7, 1.7 -1.0, 2.7
    (Missing) 71 11 43 17 64 206
1 Row-wise percentage; n (%)

All participants

Code
tbl_summary(
  data = dd_cross %>%
    mutate(across(where(is.factor), fct_drop)),
  by = NACCUDSD,
  include = c("Etiology", "Age", "SEX", "EDUC", "RACE", "HISPANIC", "AMYLOID_STATUS", "CENTILOIDS", "HIPPOCAMPUS", "Tau_PET", "Tau_TRACER", "PHC_MEM", "PHC_EXF", "PHC_LAN"),
  type = all_continuous() ~ "continuous2",
  statistic = list(all_continuous() ~ c(
    "{mean} ({sd})",
    "{median} ({p25}, {p75})",
    "{min}, {max}"),
    all_categorical() ~ "{n} ({p}%)"),
  digits = all_continuous() ~ 1,
  percent = "row",
  missing_text = "(Missing)") %>%
  add_overall(last = TRUE) %>%
  add_stat_label(label = all_continuous2() ~ c("Mean (SD)", "Median (Q1, Q3)", "Range")) %>%
  modify_caption(caption = "Characteristics of all participants by baseline UDS diagnosis.") %>%
  modify_footnote_header(
    footnote = "Row-wise percentage; n (%)",
    columns = all_stat_cols(),
    replace = TRUE) %>%
  bold_labels()
Table 3: Characteristics of all participants by baseline UDS diagnosis.
Characteristic Normal cognition
N = 20,8071
Impaired-not-MCI
N = 2,2831
MCI
N = 11,4381
Dementia
N = 16,0111
Unknown
N = 5111
Overall
N = 51,0501
Etiology, n (%)





    Not impaired 20,320 (100%) 0 (0%) 0 (0%) 0 (0%) 0 (0%) 20,320 (100%)
    LBD 487 (21%) 84 (3.7%) 685 (30%) 1,036 (45%) 0 (0%) 2,292 (100%)
    FTLD (any) 0 (0%) 35 (1.6%) 333 (15%) 1,887 (84%) 0 (0%) 2,255 (100%)
    AD 0 (0%) 365 (2.1%) 5,084 (30%) 11,760 (68%) 0 (0%) 17,209 (100%)
    Vascular 0 (0%) 136 (13%) 637 (59%) 299 (28%) 0 (0%) 1,072 (100%)
    Other 0 (0%) 1,663 (21%) 4,699 (59%) 1,029 (13%) 511 (6.5%) 7,902 (100%)
Age (yrs)





    Mean (SD) 70.0 (10.6) 70.0 (10.2) 72.9 (9.2) 72.8 (10.4) NA (NA) 71.6 (10.3)
    Median (Q1, Q3) 70.4 (64.6, 76.8) 70.4 (64.2, 76.8) 73.3 (67.1, 79.1) 74.0 (65.5, 80.5) NA (NA, NA) 72.1 (65.4, 78.7)
    Range 18.0, 104.1 20.2, 102.9 21.8, 109.9 21.9, 104.8 Inf, -Inf 18.0, 109.9
    (Missing) 0 0 0 0 511 511
Sex, n (%)





    Male 7,150 (33%) 964 (4.5%) 5,680 (26%) 7,756 (36%) 0 (0%) 21,550 (100%)
    Female 13,656 (47%) 1,319 (4.6%) 5,757 (20%) 8,255 (28%) 0 (0%) 28,987 (100%)
    Prefer not to answer 1 (50%) 0 (0%) 1 (50%) 0 (0%) 0 (0%) 2 (100%)
    (Missing) 0 0 0 0 511 511
Education (yrs)





    Mean (SD) 15.9 (2.9) 14.8 (3.7) 15.3 (3.4) 14.5 (3.7) NA (NA) 15.2 (3.4)
    Median (Q1, Q3) 16.0 (14.0, 18.0) 16.0 (12.0, 18.0) 16.0 (13.0, 18.0) 15.0 (12.0, 17.0) NA (NA, NA) 16.0 (13.0, 18.0)
    Range 0.0, 29.0 0.0, 24.0 0.0, 31.0 0.0, 30.0 Inf, -Inf 0.0, 31.0
    (Missing) 106 9 64 157 511 847
Race, n (%)





    White 16,086 (40%) 1,549 (3.9%) 8,861 (22%) 13,396 (34%) 0 (0%) 39,892 (100%)
    Black or African American 3,492 (46%) 528 (7.0%) 1,875 (25%) 1,672 (22%) 0 (0%) 7,567 (100%)
    American Indian or Alaska Native 210 (43%) 31 (6.4%) 96 (20%) 146 (30%) 0 (0%) 483 (100%)
    Native Hawaiian or Other Pacific Islander 18 (33%) 3 (5.6%) 7 (13%) 26 (48%) 0 (0%) 54 (100%)
    Asian 594 (47%) 57 (4.5%) 328 (26%) 280 (22%) 0 (0%) 1,259 (100%)
    Other (specify) 238 (27%) 90 (10%) 178 (20%) 363 (42%) 0 (0%) 869 (100%)
    Unknown 123 (35%) 19 (5.4%) 84 (24%) 124 (35%) 0 (0%) 350 (100%)
    (Missing) 46 6 9 4 511 576
Hispanic, n (%)





    No 19,012 (41%) 1,968 (4.3%) 10,284 (22%) 14,590 (32%) 0 (0%) 45,854 (100%)
    Yes 1,713 (38%) 304 (6.8%) 1,108 (25%) 1,357 (30%) 0 (0%) 4,482 (100%)
    Unknown 82 (40%) 11 (5.4%) 46 (23%) 64 (32%) 0 (0%) 203 (100%)
    (Missing) 0 0 0 0 511 511
Amyloid status, n (%)





    Negative 1,657 (68%) 68 (2.8%) 417 (17%) 192 (7.9%) 107 (4.4%) 2,441 (100%)
    Positive 748 (39%) 29 (1.5%) 572 (30%) 490 (25%) 85 (4.4%) 1,924 (100%)
    (Missing) 18,402 2,186 10,449 15,329 319 46,685
Amyloid (CL)





    Mean (SD) 13.3 (31.1) 12.5 (28.8) 41.2 (47.7) 61.4 (52.7) 25.6 (41.6) 27.2 (43.5)
    Median (Q1, Q3) 3.0 (-4.0, 20.0) 2.5 (-4.0, 24.0) 25.0 (0.0, 81.0) 70.0 (6.0, 103.0) 8.0 (-3.0, 43.0) 8.0 (-3.0, 55.0)
    Range -59.0, 201.0 -34.0, 103.0 -56.0, 211.0 -56.0, 219.0 -56.0, 152.0 -59.0, 219.0
    (Missing) 18,426 2,201 10,541 15,357 319 46,844
Hippocampal volume (mm3)





    Mean (SD) 6.3 (0.8) 6.2 (0.8) 6.0 (0.9) 5.6 (1.0) 6.3 (0.9) 6.2 (0.9)
    Median (Q1, Q3) 6.3 (5.8, 6.9) 6.2 (5.6, 6.7) 5.9 (5.3, 6.6) 5.5 (4.9, 6.2) 6.4 (5.7, 6.9) 6.2 (5.6, 6.8)
    Range 0.0, 9.7 4.4, 8.7 2.5, 9.1 2.3, 9.0 2.4, 8.2 0.0, 9.7
    (Missing) 16,617 1,982 9,826 15,145 354 43,924
Tau PET (SUVR)





    Mean (SD) 1.2 (0.2) 1.2 (0.2) 1.4 (0.4) 1.7 (0.6) 1.3 (0.4) 1.4 (0.4)
    Median (Q1, Q3) 1.2 (1.1, 1.3) 1.2 (1.1, 1.3) 1.3 (1.2, 1.5) 1.6 (1.2, 2.2) 1.2 (1.1, 1.3) 1.2 (1.2, 1.4)
    Range 0.9, 3.4 0.8, 1.9 0.9, 4.2 0.9, 4.4 0.9, 3.7 0.8, 4.4
    (Missing) 19,400 2,226 10,884 15,600 336 48,446
Tau PET tracer, n (%)





    Flortaucipir 910 (47%) 38 (2.0%) 464 (24%) 396 (20%) 128 (6.6%) 1,936 (100%)
    MK6240 504 (73%) 19 (2.8%) 98 (14%) 18 (2.6%) 47 (6.9%) 686 (100%)
    (Missing) 19,393 2,226 10,876 15,597 336 48,428
Harmonized Memory





    Mean (SD) 0.8 (0.5) 0.4 (0.6) 0.1 (0.6) -0.9 (0.8) 0.5 (0.9) 0.1 (0.9)
    Median (Q1, Q3) 0.7 (0.5, 1.1) 0.4 (0.1, 0.7) 0.1 (-0.3, 0.5) -0.9 (-1.3, -0.4) 0.7 (-0.2, 1.2) 0.2 (-0.5, 0.7)
    Range -2.4, 2.7 -2.6, 2.4 -2.3, 2.2 -2.7, 2.0 -1.9, 2.0 -2.7, 2.7
    (Missing) 805 52 300 213 448 1,818
Harmonized Exec Function





    Mean (SD) 0.7 (0.7) 0.2 (0.7) 0.1 (0.7) -0.7 (0.8) 0.6 (1.0) 0.1 (0.9)
    Median (Q1, Q3) 0.7 (0.2, 1.1) 0.3 (-0.2, 0.7) 0.1 (-0.4, 0.5) -0.7 (-1.2, -0.2) 0.8 (0.2, 1.2) 0.2 (-0.5, 0.7)
    Range -2.7, 3.2 -2.7, 2.7 -3.2, 2.7 -3.3, 2.2 -3.3, 2.2 -3.3, 3.2
    (Missing) 783 62 320 1,191 401 2,757
Harmonized Language





    Mean (SD) 0.8 (0.6) 0.4 (0.6) 0.2 (0.6) -0.6 (0.8) 0.8 (0.8) 0.2 (0.9)
    Median (Q1, Q3) 0.8 (0.4, 1.2) 0.4 (0.0, 0.8) 0.2 (-0.2, 0.5) -0.6 (-1.1, -0.1) 0.9 (0.4, 1.3) 0.2 (-0.3, 0.8)
    Range -1.9, 3.3 -2.9, 2.9 -2.9, 2.9 -3.3, 2.9 -1.9, 2.8 -3.3, 3.3
    (Missing) 783 61 327 1,158 401 2,730
1 Row-wise percentage; n (%)

Participants with hippocampal volumes

Code
tbl_summary(
  data = dd_cross %>% filter(!is.na(HIPPOCAMPUS)) %>%
    mutate(across(where(is.factor), fct_drop)),
  by = NACCUDSD,
  include = c("Etiology", "Age", "SEX", "EDUC", "RACE", "HISPANIC", "AMYLOID_STATUS", "CENTILOIDS", "HIPPOCAMPUS", "Tau_PET", "Tau_TRACER", "PHC_MEM", "PHC_EXF", "PHC_LAN"),
  type = all_continuous() ~ "continuous2",
  statistic = list(all_continuous() ~ c(
    "{mean} ({sd})",
    "{median} ({p25}, {p75})",
    "{min}, {max}"
  ),
    all_categorical() ~ "{n} ({p}%)"),
  digits = all_continuous() ~ 1,
  percent = "row",
  missing_text = "(Missing)") %>%
  add_overall(last = TRUE) %>%
  add_stat_label(label = all_continuous2() ~ c("Mean (SD)", 
    "Median (Q1, Q3)", "Range")) %>%
  modify_caption(caption = "Characteristics of all participants with MRI data by baseline UDS diagnosis.") %>%
  modify_footnote_header(
    footnote = "Row-wise percentage; n (%)",
    columns = all_stat_cols(),
    replace = TRUE) %>%
  bold_labels()
Table 4: Characteristics of all participants with MRI data by baseline UDS diagnosis.
Characteristic Normal cognition
N = 4,1901
Impaired-not-MCI
N = 3011
MCI
N = 1,6121
Dementia
N = 8661
Unknown
N = 1571
Overall
N = 7,1261
Etiology, n (%)





    Not impaired 4,134 (100%) 0 (0%) 0 (0%) 0 (0%) 0 (0%) 4,134 (100%)
    LBD 56 (30%) 8 (4.3%) 84 (45%) 39 (21%) 0 (0%) 187 (100%)
    FTLD (any) 0 (0%) 5 (5.6%) 29 (32%) 56 (62%) 0 (0%) 90 (100%)
    AD 0 (0%) 36 (2.2%) 887 (55%) 704 (43%) 0 (0%) 1,627 (100%)
    Vascular 0 (0%) 32 (18%) 127 (71%) 21 (12%) 0 (0%) 180 (100%)
    Other 0 (0%) 220 (24%) 485 (53%) 46 (5.1%) 157 (17%) 908 (100%)
Age (yrs)





    Mean (SD) 68.5 (8.9) 68.9 (8.5) 72.2 (8.2) 72.0 (9.4) NA (NA) 69.8 (9.0)
    Median (Q1, Q3) 69.0 (63.4, 74.3) 68.6 (63.8, 75.3) 72.4 (66.6, 77.8) 73.1 (65.9, 79.0) NA (NA, NA) 70.2 (64.4, 75.9)
    Range 21.3, 100.1 36.4, 92.0 27.7, 98.7 30.2, 94.2 Inf, -Inf 21.3, 100.1
    (Missing) 0 0 0 0 157 157
Sex, n (%)





    Male 1,426 (51%) 128 (4.5%) 836 (30%) 431 (15%) 0 (0%) 2,821 (100%)
    Female 2,763 (67%) 173 (4.2%) 776 (19%) 435 (10%) 0 (0%) 4,147 (100%)
    Prefer not to answer 1 (100%) 0 (0%) 0 (0%) 0 (0%) 0 (0%) 1 (100%)
    (Missing) 0 0 0 0 157 157
Education (yrs)





    Mean (SD) 16.1 (2.8) 14.8 (3.8) 15.5 (3.3) 15.2 (3.5) NA (NA) 15.8 (3.1)
    Median (Q1, Q3) 16.0 (14.0, 18.0) 16.0 (12.0, 18.0) 16.0 (13.0, 18.0) 16.0 (12.0, 18.0) NA (NA, NA) 16.0 (14.0, 18.0)
    Range 0.0, 25.0 0.0, 24.0 0.0, 31.0 0.0, 25.0 Inf, -Inf 0.0, 31.0
    (Missing) 12 1 5 2 157 177
Race, n (%)





    White 3,178 (59%) 190 (3.6%) 1,216 (23%) 766 (14%) 0 (0%) 5,350 (100%)
    Black or African American 769 (62%) 85 (6.9%) 311 (25%) 74 (6.0%) 0 (0%) 1,239 (100%)
    American Indian or Alaska Native 64 (77%) 4 (4.8%) 15 (18%) 0 (0%) 0 (0%) 83 (100%)
    Native Hawaiian or Other Pacific Islander 3 (100%) 0 (0%) 0 (0%) 0 (0%) 0 (0%) 3 (100%)
    Asian 94 (59%) 8 (5.1%) 43 (27%) 13 (8.2%) 0 (0%) 158 (100%)
    Other (specify) 45 (61%) 5 (6.8%) 16 (22%) 8 (11%) 0 (0%) 74 (100%)
    Unknown 26 (63%) 4 (9.8%) 8 (20%) 3 (7.3%) 0 (0%) 41 (100%)
    (Missing) 11 5 3 2 157 178
Hispanic, n (%)





    No 3,770 (60%) 256 (4.1%) 1,462 (23%) 785 (13%) 0 (0%) 6,273 (100%)
    Yes 407 (61%) 44 (6.6%) 140 (21%) 78 (12%) 0 (0%) 669 (100%)
    Unknown 13 (48%) 1 (3.7%) 10 (37%) 3 (11%) 0 (0%) 27 (100%)
    (Missing) 0 0 0 0 157 157
Amyloid status, n (%)





    Negative 921 (78%) 33 (2.8%) 174 (15%) 33 (2.8%) 25 (2.1%) 1,186 (100%)
    Positive 424 (54%) 12 (1.5%) 235 (30%) 97 (12%) 16 (2.0%) 784 (100%)
    (Missing) 2,845 256 1,203 736 116 5,156
Amyloid (CL)





    Mean (SD) 13.1 (31.1) 10.3 (29.2) 39.4 (46.8) 62.3 (52.4) 18.0 (36.1) 21.7 (39.5)
    Median (Q1, Q3) 3.0 (-4.0, 19.0) 2.0 (-5.0, 18.0) 23.5 (-1.0, 74.0) 63.0 (12.5, 101.0) 8.0 (-3.0, 27.0) 6.0 (-4.0, 38.0)
    Range -42.0, 201.0 -34.0, 93.0 -40.0, 175.0 -22.0, 219.0 -56.0, 110.0 -56.0, 219.0
    (Missing) 2,849 258 1,218 738 116 5,179
Hippocampal volume (mm3)





    Mean (SD) 6.3 (0.8) 6.2 (0.8) 6.0 (0.9) 5.6 (1.0) 6.3 (0.9) 6.2 (0.9)
    Median (Q1, Q3) 6.3 (5.8, 6.9) 6.2 (5.6, 6.7) 5.9 (5.3, 6.6) 5.5 (4.9, 6.2) 6.4 (5.7, 6.9) 6.2 (5.6, 6.8)
    Range 0.0, 9.7 4.4, 8.7 2.5, 9.1 2.3, 9.0 2.4, 8.2 0.0, 9.7
Tau PET (SUVR)





    Mean (SD) 1.2 (0.2) 1.2 (0.2) 1.4 (0.4) 1.9 (0.7) 1.3 (0.4) 1.3 (0.4)
    Median (Q1, Q3) 1.2 (1.1, 1.3) 1.2 (1.1, 1.3) 1.3 (1.2, 1.5) 1.8 (1.3, 2.2) 1.2 (1.2, 1.3) 1.2 (1.1, 1.3)
    Range 0.9, 3.4 0.8, 1.9 0.9, 3.3 1.0, 4.4 1.0, 3.7 0.8, 4.4
    (Missing) 3,283 269 1,325 746 109 5,732
Tau PET tracer, n (%)





    Flortaucipir 498 (56%) 18 (2.0%) 213 (24%) 108 (12%) 46 (5.2%) 883 (100%)
    MK6240 411 (80%) 14 (2.7%) 75 (15%) 13 (2.5%) 2 (0.4%) 515 (100%)
    (Missing) 3,281 269 1,324 745 109 5,728
Harmonized Memory





    Mean (SD) 0.9 (0.5) 0.5 (0.6) 0.1 (0.6) -0.8 (0.7) 1.0 (0.3) 0.5 (0.8)
    Median (Q1, Q3) 0.8 (0.5, 1.2) 0.5 (0.1, 0.9) 0.1 (-0.3, 0.5) -0.8 (-1.2, -0.4) 1.0 (0.8, 1.4) 0.6 (0.0, 1.0)
    Range -0.9, 2.6 -0.8, 2.2 -1.8, 2.0 -2.7, 1.5 0.5, 1.5 -2.7, 2.6
    (Missing) 514 35 182 76 149 956
Harmonized Exec Function





    Mean (SD) 0.7 (0.7) 0.2 (0.8) 0.1 (0.6) -0.6 (0.8) 0.6 (0.5) 0.4 (0.8)
    Median (Q1, Q3) 0.7 (0.3, 1.2) 0.3 (-0.3, 0.8) 0.1 (-0.3, 0.5) -0.6 (-1.2, -0.1) 0.6 (0.3, 1.0) 0.4 (-0.1, 1.0)
    Range -1.8, 3.2 -2.2, 2.2 -2.3, 2.7 -3.3, 1.9 -0.3, 1.2 -3.3, 3.2
    (Missing) 514 36 185 88 149 972
Harmonized Language





    Mean (SD) 0.9 (0.6) 0.5 (0.6) 0.2 (0.6) -0.5 (0.7) 1.0 (0.6) 0.5 (0.8)
    Median (Q1, Q3) 0.8 (0.5, 1.3) 0.4 (0.1, 0.8) 0.2 (-0.1, 0.6) -0.4 (-0.9, 0.0) 0.9 (0.6, 1.0) 0.6 (0.1, 1.1)
    Range -1.2, 3.3 -1.2, 2.3 -1.9, 2.6 -2.9, 1.5 0.2, 2.4 -2.9, 3.3
    (Missing) 514 36 184 86 149 969
1 Row-wise percentage; n (%)

Participants with tau PET

Code
tbl_summary(
  data = dd_cross %>% filter(!is.na(Tau_PET)) %>%
    mutate(across(where(is.factor), fct_drop)),
  by = NACCUDSD,
  include = c("Etiology", "Age", "SEX", "EDUC", "RACE", "HISPANIC", "AMYLOID_STATUS", "CENTILOIDS", "HIPPOCAMPUS", "Tau_PET", "Tau_TRACER", "PHC_MEM", "PHC_EXF", "PHC_LAN"),
  type = all_continuous() ~ "continuous2",
  statistic = list(all_continuous() ~ c(
    "{mean} ({sd})",
    "{median} ({p25}, {p75})",
    "{min}, {max}"),
    all_categorical() ~ "{n} ({p}%)"),
  digits = all_continuous() ~ 1,
  percent = "row",
  missing_text = "(Missing)") %>%
  add_overall(last = TRUE) %>%
  add_stat_label(label = all_continuous2() ~ c("Mean (SD)", "Median (Q1, Q3)", "Range")) %>%
  modify_caption(caption = "Characteristics of all participants with tau PET data by baseline UDS diagnosis.") %>%
  modify_footnote_header(
    footnote = "Row-wise percentage; n (%)",
    columns = all_stat_cols(),
    replace = TRUE) %>%
  bold_labels()
Table 5: Characteristics of all participants with tau PET data by baseline UDS diagnosis.
Characteristic Normal cognition
N = 1,4071
Impaired-not-MCI
N = 571
MCI
N = 5541
Dementia
N = 4111
Unknown
N = 1751
Overall
N = 2,6041
Etiology, n (%)





    Not impaired 1,395 (100%) 0 (0%) 0 (0%) 0 (0%) 0 (0%) 1,395 (100%)
    LBD 12 (30%) 2 (5.0%) 17 (43%) 9 (23%) 0 (0%) 40 (100%)
    FTLD (any) 0 (0%) 2 (2.0%) 27 (26%) 73 (72%) 0 (0%) 102 (100%)
    AD 0 (0%) 11 (1.8%) 325 (54%) 269 (44%) 0 (0%) 605 (100%)
    Vascular 0 (0%) 3 (6.8%) 39 (89%) 2 (4.5%) 0 (0%) 44 (100%)
    Other 0 (0%) 39 (9.3%) 146 (35%) 58 (14%) 175 (42%) 418 (100%)
Age (yrs)





    Mean (SD) 67.2 (8.6) 67.4 (8.4) 69.4 (8.3) 67.9 (10.0) NA (NA) 67.9 (8.8)
    Median (Q1, Q3) 67.9 (62.3, 73.1) 67.1 (62.9, 73.4) 70.1 (64.3, 75.0) 68.0 (61.0, 75.8) NA (NA, NA) 68.4 (62.5, 74.0)
    Range 22.2, 92.2 36.4, 80.9 27.3, 95.5 22.5, 87.6 Inf, -Inf 22.2, 95.5
    (Missing) 0 0 0 0 175 175
Sex, n (%)





    Male 498 (49%) 32 (3.2%) 281 (28%) 202 (20%) 0 (0%) 1,013 (100%)
    Female 909 (64%) 25 (1.8%) 273 (19%) 209 (15%) 0 (0%) 1,416 (100%)
    (Missing) 0 0 0 0 175 175
Education (yrs)





    Mean (SD) 16.4 (2.4) 15.9 (2.6) 16.2 (2.8) 16.0 (3.0) NA (NA) 16.3 (2.6)
    Median (Q1, Q3) 16.0 (15.0, 18.0) 16.0 (14.0, 18.0) 16.0 (14.0, 18.0) 16.0 (14.0, 18.0) NA (NA, NA) 16.0 (14.0, 18.0)
    Range 8.0, 25.0 11.0, 23.0 8.0, 26.0 3.0, 30.0 Inf, -Inf 3.0, 30.0
    (Missing) 2 0 5 6 175 188
Race, n (%)





    White 1,031 (54%) 36 (1.9%) 456 (24%) 372 (20%) 0 (0%) 1,895 (100%)
    Black or African American 285 (73%) 14 (3.6%) 71 (18%) 20 (5.1%) 0 (0%) 390 (100%)
    American Indian or Alaska Native 35 (80%) 3 (6.8%) 5 (11%) 1 (2.3%) 0 (0%) 44 (100%)
    Native Hawaiian or Other Pacific Islander 2 (50%) 0 (0%) 2 (50%) 0 (0%) 0 (0%) 4 (100%)
    Asian 20 (59%) 1 (2.9%) 10 (29%) 3 (8.8%) 0 (0%) 34 (100%)
    Other (specify) 6 (43%) 1 (7.1%) 1 (7.1%) 6 (43%) 0 (0%) 14 (100%)
    Unknown 5 (28%) 0 (0%) 5 (28%) 8 (44%) 0 (0%) 18 (100%)
    (Missing) 23 2 4 1 175 205
Hispanic, n (%)





    No 1,305 (57%) 53 (2.3%) 524 (23%) 390 (17%) 0 (0%) 2,272 (100%)
    Yes 96 (66%) 4 (2.7%) 28 (19%) 18 (12%) 0 (0%) 146 (100%)
    Unknown 6 (55%) 0 (0%) 2 (18%) 3 (27%) 0 (0%) 11 (100%)
    (Missing) 0 0 0 0 175 175
Amyloid status, n (%)





    Negative 664 (64%) 30 (2.9%) 194 (19%) 86 (8.3%) 57 (5.5%) 1,031 (100%)
    Positive 297 (39%) 8 (1.1%) 227 (30%) 179 (24%) 42 (5.6%) 753 (100%)
    (Missing) 446 19 133 146 76 820
Amyloid (CL)





    Mean (SD) 13.6 (30.2) 8.8 (27.6) 35.5 (45.2) 56.0 (51.3) 27.8 (43.7) 25.8 (41.6)
    Median (Q1, Q3) 3.0 (-3.0, 18.0) -1.0 (-4.0, 8.0) 17.0 (-2.0, 74.0) 63.0 (3.0, 100.0) 5.0 (-3.0, 46.0) 6.0 (-2.0, 50.0)
    Range -59.0, 170.0 -33.0, 93.0 -56.0, 171.0 -56.0, 191.0 -36.0, 138.0 -59.0, 191.0
    (Missing) 446 19 133 146 76 820
Hippocampal volume (mm3)





    Mean (SD) 6.4 (0.8) 6.3 (0.8) 6.0 (0.9) 5.6 (1.1) 6.4 (0.8) 6.3 (0.9)
    Median (Q1, Q3) 6.4 (5.9, 6.9) 6.3 (5.7, 7.0) 6.0 (5.4, 6.7) 5.6 (5.0, 6.3) 6.4 (5.7, 7.1) 6.3 (5.7, 6.9)
    Range 3.4, 8.7 4.9, 7.9 3.0, 8.5 2.3, 8.3 4.6, 8.2 2.3, 8.7
    (Missing) 500 25 267 291 127 1,210
Tau PET (SUVR)





    Mean (SD) 1.2 (0.2) 1.2 (0.2) 1.4 (0.4) 1.7 (0.6) 1.3 (0.4) 1.4 (0.4)
    Median (Q1, Q3) 1.2 (1.1, 1.3) 1.2 (1.1, 1.3) 1.3 (1.2, 1.5) 1.6 (1.2, 2.2) 1.2 (1.1, 1.3) 1.2 (1.2, 1.4)
    Range 0.9, 3.4 0.8, 1.9 0.9, 4.2 0.9, 4.4 0.9, 3.7 0.8, 4.4
Tau PET tracer, n (%)





    Flortaucipir 904 (47%) 38 (2.0%) 456 (24%) 393 (20%) 128 (6.7%) 1,919 (100%)
    MK6240 503 (73%) 19 (2.8%) 98 (14%) 18 (2.6%) 47 (6.9%) 685 (100%)
Harmonized Memory





    Mean (SD) 0.9 (0.5) 0.6 (0.5) 0.2 (0.5) -0.5 (0.7) 1.1 (0.3) 0.5 (0.7)
    Median (Q1, Q3) 0.9 (0.6, 1.3) 0.5 (0.2, 0.8) 0.3 (-0.1, 0.6) -0.5 (-1.0, 0.0) 1.0 (0.7, 1.5) 0.6 (0.1, 1.0)
    Range -0.3, 2.7 -0.1, 1.6 -1.3, 2.0 -2.6, 1.5 0.7, 1.5 -2.6, 2.7
    (Missing) 307 20 96 92 168 683
Harmonized Exec Function





    Mean (SD) 0.8 (0.6) 0.4 (0.5) 0.2 (0.6) -0.6 (0.9) 0.4 (0.5) 0.4 (0.9)
    Median (Q1, Q3) 0.8 (0.4, 1.2) 0.5 (0.1, 0.8) 0.2 (-0.2, 0.6) -0.6 (-1.2, 0.0) 0.3 (0.0, 0.9) 0.5 (0.0, 1.0)
    Range -1.5, 2.9 -1.1, 1.2 -1.8, 2.0 -3.2, 1.4 -0.3, 1.1 -3.2, 2.9
    (Missing) 305 20 96 89 168 678
Harmonized Language





    Mean (SD) 0.9 (0.6) 0.6 (0.5) 0.4 (0.6) -0.4 (0.7) 0.8 (0.4) 0.6 (0.8)
    Median (Q1, Q3) 0.9 (0.5, 1.3) 0.6 (0.2, 1.0) 0.4 (0.0, 0.7) -0.3 (-0.7, 0.2) 0.9 (0.5, 1.2) 0.6 (0.1, 1.1)
    Range -0.9, 2.9 -0.8, 1.3 -1.4, 2.2 -2.5, 1.5 0.2, 1.3 -2.5, 2.9
    (Missing) 305 20 96 90 168 679
1 Row-wise percentage; n (%)

Participants with amyloid PET

Code
tbl_summary(
  data = dd_cross %>% filter(!is.na(CENTILOIDS)) %>%
    mutate(across(where(is.factor), fct_drop)),
  by = NACCUDSD,
  include = c("Etiology", "Age", "SEX", "EDUC", "RACE", "HISPANIC", "AMYLOID_STATUS", "CENTILOIDS", "HIPPOCAMPUS", "Tau_PET", "Tau_TRACER", "PHC_MEM", "PHC_EXF", "PHC_LAN"),
  type = all_continuous() ~ "continuous2",
  statistic = list(all_continuous() ~ c(
    "{mean} ({sd})",
    "{median} ({p25}, {p75})",
    "{min}, {max}"
  ),
    all_categorical() ~ "{n} ({p}%)"),
  digits = all_continuous() ~ 1,
  percent = "row",
  missing_text = "(Missing)") %>%
  add_overall(last = TRUE) %>%
  add_stat_label(label = all_continuous2() ~ c("Mean (SD)", "Median (Q1, Q3)", "Range")) %>%
  modify_caption(caption = "Characteristics of NACC ADRC participants with amyloid PET data by baseline UDS diagnosis.") %>%
  modify_footnote_header(
    footnote = "Row-wise percentage; n (%)",
    columns = all_stat_cols(),
    replace = TRUE) %>%
  bold_labels()
Table 6: Characteristics of NACC ADRC participants with amyloid PET data by baseline UDS diagnosis.
Characteristic Normal cognition
N = 2,3811
Impaired-not-MCI
N = 821
MCI
N = 8971
Dementia
N = 6541
Unknown
N = 1921
Overall
N = 4,2061
Etiology, n (%)





    Not impaired 2,332 (100%) 0 (0%) 0 (0%) 0 (0%) 0 (0%) 2,332 (100%)
    LBD 49 (36%) 1 (0.7%) 55 (40%) 31 (23%) 0 (0%) 136 (100%)
    FTLD (any) 0 (0%) 3 (2.1%) 30 (21%) 107 (76%) 0 (0%) 140 (100%)
    AD 0 (0%) 16 (1.6%) 543 (55%) 437 (44%) 0 (0%) 996 (100%)
    Vascular 0 (0%) 4 (5.9%) 58 (85%) 6 (8.8%) 0 (0%) 68 (100%)
    Other 0 (0%) 58 (11%) 211 (40%) 73 (14%) 192 (36%) 534 (100%)
Age (yrs)





    Mean (SD) 68.5 (8.2) 67.3 (8.8) 70.5 (8.3) 67.9 (9.5) NA (NA) 68.8 (8.5)
    Median (Q1, Q3) 68.7 (64.3, 73.7) 68.7 (61.4, 73.2) 70.9 (65.3, 76.5) 67.7 (60.9, 75.4) NA (NA, NA) 69.2 (64.0, 74.5)
    Range 21.3, 93.4 36.9, 83.2 27.3, 95.5 22.5, 90.8 Inf, -Inf 21.3, 95.5
    (Missing) 0 0 0 0 192 192
Sex, n (%)





    Male 809 (49%) 30 (1.8%) 476 (29%) 349 (21%) 0 (0%) 1,664 (100%)
    Female 1,572 (67%) 52 (2.2%) 421 (18%) 305 (13%) 0 (0%) 2,350 (100%)
    (Missing) 0 0 0 0 192 192
Education (yrs)





    Mean (SD) 16.5 (2.6) 15.6 (2.8) 16.3 (2.8) 15.8 (3.0) NA (NA) 16.3 (2.7)
    Median (Q1, Q3) 16.0 (15.0, 18.0) 16.0 (13.0, 18.0) 16.0 (14.0, 18.0) 16.0 (14.0, 18.0) NA (NA, NA) 16.0 (14.0, 18.0)
    Range 2.0, 25.0 7.0, 20.0 4.0, 26.0 3.0, 30.0 Inf, -Inf 2.0, 30.0
    (Missing) 6 0 7 13 192 218
Race, n (%)





    White 1,803 (57%) 57 (1.8%) 735 (23%) 574 (18%) 0 (0%) 3,169 (100%)
    Black or African American 445 (72%) 18 (2.9%) 113 (18%) 40 (6.5%) 0 (0%) 616 (100%)
    American Indian or Alaska Native 43 (75%) 3 (5.3%) 9 (16%) 2 (3.5%) 0 (0%) 57 (100%)
    Native Hawaiian or Other Pacific Islander 1 (33%) 0 (0%) 2 (67%) 0 (0%) 0 (0%) 3 (100%)
    Asian 55 (57%) 2 (2.1%) 24 (25%) 15 (16%) 0 (0%) 96 (100%)
    Other (specify) 12 (52%) 1 (4.3%) 4 (17%) 6 (26%) 0 (0%) 23 (100%)
    Unknown 8 (29%) 0 (0%) 5 (18%) 15 (54%) 0 (0%) 28 (100%)
    (Missing) 14 1 5 2 192 214
Hispanic, n (%)





    No 2,194 (59%) 70 (1.9%) 826 (22%) 619 (17%) 0 (0%) 3,709 (100%)
    Yes 179 (63%) 12 (4.2%) 65 (23%) 30 (10%) 0 (0%) 286 (100%)
    Unknown 8 (42%) 0 (0%) 6 (32%) 5 (26%) 0 (0%) 19 (100%)
    (Missing) 0 0 0 0 192 192
Amyloid status, n (%)





    Negative 1,640 (69%) 58 (2.5%) 373 (16%) 187 (7.9%) 107 (4.5%) 2,365 (100%)
    Positive 741 (40%) 24 (1.3%) 524 (28%) 467 (25%) 85 (4.6%) 1,841 (100%)
Amyloid (CL)





    Mean (SD) 13.3 (31.1) 12.5 (28.8) 41.2 (47.7) 61.4 (52.7) 25.6 (41.6) 27.2 (43.5)
    Median (Q1, Q3) 3.0 (-4.0, 20.0) 2.5 (-4.0, 24.0) 25.0 (0.0, 81.0) 70.0 (6.0, 103.0) 8.0 (-3.0, 43.0) 8.0 (-3.0, 55.0)
    Range -59.0, 201.0 -34.0, 103.0 -56.0, 211.0 -56.0, 219.0 -56.0, 152.0 -59.0, 219.0
Hippocampal volume (mm3)





    Mean (SD) 6.4 (0.8) 6.2 (0.8) 6.0 (0.9) 5.7 (1.1) 6.3 (0.8) 6.3 (0.9)
    Median (Q1, Q3) 6.4 (5.8, 6.9) 6.1 (5.6, 6.8) 5.9 (5.4, 6.7) 5.6 (5.0, 6.5) 6.1 (5.7, 6.9) 6.3 (5.7, 6.9)
    Range 3.1, 9.0 4.9, 7.9 2.5, 8.5 2.3, 8.1 5.1, 7.8 2.3, 9.0
    (Missing) 1,040 39 503 526 151 2,259
Tau PET (SUVR)





    Mean (SD) 1.2 (0.2) 1.2 (0.2) 1.4 (0.4) 1.7 (0.6) 1.3 (0.4) 1.3 (0.4)
    Median (Q1, Q3) 1.2 (1.1, 1.3) 1.2 (1.1, 1.3) 1.3 (1.2, 1.5) 1.6 (1.2, 2.2) 1.2 (1.1, 1.3) 1.2 (1.1, 1.3)
    Range 0.9, 3.4 0.8, 1.9 0.9, 4.2 0.9, 4.4 0.9, 2.9 0.8, 4.4
    (Missing) 1,420 44 476 389 93 2,422
Tau PET tracer, n (%)





    Flortaucipir 513 (44%) 22 (1.9%) 332 (28%) 251 (21%) 57 (4.9%) 1,175 (100%)
    MK6240 452 (73%) 16 (2.6%) 92 (15%) 17 (2.7%) 42 (6.8%) 619 (100%)
    (Missing) 1,416 44 473 386 93 2,412
Harmonized Memory





    Mean (SD) 0.9 (0.5) 0.5 (0.5) 0.2 (0.6) -0.6 (0.7) 1.0 (0.4) 0.5 (0.8)
    Median (Q1, Q3) 0.9 (0.6, 1.3) 0.5 (0.2, 0.7) 0.2 (-0.2, 0.6) -0.6 (-1.0, -0.1) 0.9 (0.8, 1.5) 0.7 (0.1, 1.0)
    Range -0.7, 2.7 -0.7, 1.6 -1.5, 2.0 -2.7, 1.6 0.4, 1.6 -2.7, 2.7
    (Missing) 310 17 142 87 182 738
Harmonized Exec Function





    Mean (SD) 0.8 (0.6) 0.4 (0.6) 0.2 (0.6) -0.6 (0.9) 0.3 (0.6) 0.4 (0.8)
    Median (Q1, Q3) 0.8 (0.3, 1.2) 0.4 (0.0, 0.9) 0.2 (-0.2, 0.6) -0.6 (-1.2, 0.0) 0.4 (0.1, 0.8) 0.5 (0.0, 1.0)
    Range -1.5, 2.9 -1.3, 1.6 -1.8, 2.0 -3.2, 2.2 -0.8, 1.1 -3.2, 2.9
    (Missing) 308 17 142 92 182 741
Harmonized Language





    Mean (SD) 0.9 (0.6) 0.5 (0.5) 0.3 (0.6) -0.4 (0.7) 0.8 (0.5) 0.6 (0.8)
    Median (Q1, Q3) 0.9 (0.5, 1.3) 0.5 (0.1, 0.8) 0.3 (-0.1, 0.7) -0.3 (-0.9, 0.1) 0.8 (0.5, 1.2) 0.6 (0.1, 1.1)
    Range -0.9, 3.1 -0.8, 1.9 -1.7, 2.3 -2.9, 1.5 0.0, 1.7 -2.9, 3.1
    (Missing) 308 17 142 88 182 737
1 Row-wise percentage; n (%)

Summary plots

Code
pd1 <- dd %>% 
  select(NACCID, Age, Etiology, NACCUDSD, NACCETPR,
    CENTILOIDS, HIPPOCAMPUS, Tau_PET_ComBat) %>%
  rename(
    `Amyloid PET (CL)` = CENTILOIDS, `Hipp. volume` = HIPPOCAMPUS, 
    `Tau PET (MTL SUVR)` = Tau_PET_ComBat) %>%
  group_by(NACCID) %>%
  mutate(
    Age0 = min(Age),
    `Initial Dx` = case_when(
      Age == Age0 ~ NACCUDSD,
      TRUE ~ NA),
    Years = Age - Age0) %>%
  arrange(NACCID, Years) %>%
  tidyr::fill(all_of("Initial Dx"), .direction = "down") %>%
  pivot_longer(`Amyloid PET (CL)`:`Tau PET (MTL SUVR)`) %>%
  filter(!is.na(value), !is.na(Years), !is.na(NACCUDSD)) %>%
  mutate(name = factor(name, levels = c(
    "Amyloid PET (CL)", "Tau PET (MTL SUVR)", "Hipp. volume")))

pd2_0 <- dd %>% 
  select(NACCID, Age, Memory = PHC_MEM, Etiology, NACCUDSD, NACCETPR,
    CENTILOIDS, HIPPOCAMPUS, Tau_PET_ComBat) %>%
  group_by(NACCID) %>%
  mutate(
    Age0 = min(Age),
    `Initial Dx` = case_when(
      Age == Age0 ~ NACCUDSD,
      TRUE ~ NA),
    Years = Age - Age0) %>%
  arrange(NACCID, Years) %>%
  tidyr::fill(all_of("Initial Dx"), .direction = "down") %>%
  mutate(
    Dx0 = `Initial Dx`,
    Memory_int = zoo::na.approx(Memory, na.rm = FALSE)) %>%
  select(NACCID, Age, `Initial Dx`, Dx0, Memory, Memory_int, Etiology, 
    NACCUDSD, NACCETPR, CENTILOIDS, HIPPOCAMPUS, Tau_PET_ComBat) %>%
  filter(!is.na(Age), !is.na(Dx0)) %>%
  ungroup()

fit_mem <- lme(Memory ~ I(Age^3)*Dx0, 
  random = ~ Age | NACCID, data = pd2_0, na.action = na.omit)
pd2_0$Memory_lme <- predict(fit_mem, newdata = pd2_0 %>% select(-Memory)) %>%
  as.numeric()

pd2 <- pd2_0 %>%
  mutate(
    Memory_i = case_when(
      !is.na(Memory) ~ Memory,
      !is.na(Memory_int) ~ Memory_int,
      !is.na(Memory_lme) ~ Memory_lme)) %>%
  rename(
    `Amyloid PET (CL)` = CENTILOIDS, `Hipp. volume` = HIPPOCAMPUS, 
    `Tau PET (MTL SUVR)` = Tau_PET_ComBat) %>%
  pivot_longer(`Amyloid PET (CL)`:`Tau PET (MTL SUVR)`) %>%
  filter(!is.na(value), !is.na(Memory_i), !is.na(NACCUDSD)) %>%
  mutate(name = factor(name, levels = c(
    "Amyloid PET (CL)", "Tau PET (MTL SUVR)", "Hipp. volume")))

p1 <- ggplot(pd1, aes(x=Age, y=value, color = `Initial Dx`)) +
  facet_wrap(vars(name), scales = 'free_y', ncol = 3, strip.position = "left") +
  geom_smooth(method = 'gam', formula = y ~ s(x, bs = "cs", fx = TRUE, k = 1)) +
  coord_cartesian(xlim = c(50, 90)) +
  ylab('') +
  theme(strip.placement = "outside")

p2 <- ggplot(pd2, aes(x=Memory_i, y=value, color = `Initial Dx`)) +
  facet_wrap(vars(name), scales = 'free_y', ncol = 3, strip.position = "left") +
  geom_smooth(method = 'gam', 
    formula = y ~ s(x, bs = "cs", k = 2, sp = 1)) +
  coord_cartesian(xlim = c(-1.5, 1.5)) +
  ylab('Amyloid PET (CL)') +
  xlab('Harmonized Memory (imputed)') +
  scale_x_reverse() +
  ylab('') +
  theme(strip.placement = "outside")

p1 / p2 + plot_layout(guides = "collect")

LOESS plots. For the bottom plot, memory scores are imputed using linear interpolation (when possible) and a linear mixed effects model (when interpolation was not possible) to allow for plotting against biomarker values. The linear mixed effects model included fixed effects for age (as a cubic polynomial) by initial diagnosis. Random effects included random intercepts and slopes for each participant.

Spaghetti plots

Code
pd <- dd %>% 
  select(NACCID, SOURCE = Amyloid_SOURCE, Etiology, Age, NACCUDSD, NACCETPR, CENTILOIDS) %>%
  filter(!is.na(CENTILOIDS), !is.na(Age)) %>%
  group_by(NACCID) %>%
  mutate(
    Age0 = min(Age),
    `Initial Dx` = case_when(
      Age == Age0 ~ NACCUDSD,
      TRUE ~ NA),
    Years = Age - Age0) %>%
  arrange(NACCID, Years) %>%
  tidyr::fill(all_of("Initial Dx"), .direction = "down")

ggplot(pd, aes(x = Years, y = CENTILOIDS)) +
  geom_point(aes(color = SOURCE, shape = Etiology), alpha = 0.5) +
  geom_line(aes(group = NACCID), alpha=0.1) +
  geom_density(aes(y = CENTILOIDS, 
    x = after_stat(-scaled)), 
    color = "darkgray", fill = "gray", alpha = 0.3, 
    orientation = "y", inherit.aes = FALSE) +
  scale_x_continuous(labels = function(x) ifelse(x < 0, "", x)) +
  facet_grid(. ~ `Initial Dx`, scales = 'free_x') +
  guides(colour = guide_legend(override.aes = list(alpha=1))) +
  ylab('Amyloid PET (CL)') +
  scale_color_manual(values = cohort_color)

Spaghetti plot of amyloid PET.
Code
pd <- dd %>% 
  select(NACCID, SOURCE = Tau_SOURCE, Etiology, Age, NACCUDSD, NACCETPR, Tau_PET_ComBat) %>%
  filter(!is.na(Tau_PET_ComBat), !is.na(Age)) %>%
  group_by(NACCID) %>%
  mutate(
    Age0 = min(Age),
    `Initial Dx` = case_when(
      Age == Age0 ~ NACCUDSD,
      TRUE ~ NA),
    Years = Age - Age0) %>%
  arrange(NACCID, Years) %>%
  tidyr::fill(all_of("Initial Dx"), .direction = "down")

ggplot(pd, aes(x=Years, y=Tau_PET_ComBat)) +
  geom_point(aes(color=SOURCE, shape = Etiology), alpha=1) +
  geom_line(aes(group = NACCID), alpha=0.1) +
  geom_density(aes(y = Tau_PET_ComBat, 
    x = after_stat(-scaled)), 
    color = "darkgray", fill = "gray", alpha = 0.3, 
    orientation = "y", inherit.aes = FALSE) +
  scale_x_continuous(labels = function(x) ifelse(x < 0, "", x)) +
  facet_grid(. ~ `Initial Dx`, scales = 'free_x') +
  guides(colour = guide_legend(override.aes = list(alpha=1))) +
  ylab('Tau PET (MTL SUVR)') +
  scale_color_manual(values = cohort_color)

Spaghetti plot of tau PET.
Code
pd <- dd %>% 
  select(NACCID, SOURCE = MRI_SOURCE, Etiology, Age, NACCUDSD, NACCETPR, HIPPOCAMPUS) %>%
  filter(!is.na(HIPPOCAMPUS), !is.na(Age)) %>%
  group_by(NACCID) %>%
  mutate(
    Age0 = min(Age),
    `Initial Dx` = case_when(
      Age == Age0 ~ NACCUDSD,
      TRUE ~ NA),
    Years = Age - Age0) %>%
  arrange(NACCID, Years) %>%
  tidyr::fill(all_of("Initial Dx"), .direction = "down")

ggplot(pd, aes(x=Years, y=HIPPOCAMPUS)) +
  geom_point(aes(color=SOURCE, shape = Etiology), alpha=1) +
  geom_line(aes(group = NACCID), alpha=0.1) +
  geom_density(aes(y = HIPPOCAMPUS, 
    x = after_stat(-scaled)), 
    color = "darkgray", fill = "gray", alpha = 0.3, 
    orientation = "y", inherit.aes = FALSE) +
  scale_x_continuous(labels = function(x) ifelse(x < 0, "", x)) +
  facet_grid(. ~ `Initial Dx`, scales = 'free_x') +
  guides(colour = guide_legend(override.aes = list(alpha=1))) +
  ylab('Hippocampal volume') +
  scale_color_manual(values = cohort_color)

Spaghetti plot of hippocampal volumes.
Code
pd <- dd %>% 
  select(NACCID, Age, Etiology, NACCUDSD, NACCETPR,
    PHC_MEM, PHC_EXF, PHC_LAN) %>%
  rename(Memory = PHC_MEM, `Exec. Function` = PHC_EXF, Language = PHC_LAN) %>%
  group_by(NACCID) %>%
  mutate(
    Age0 = min(Age),
    `Initial Dx` = case_when(
      Age == Age0 ~ NACCUDSD,
      TRUE ~ NA),
    Years = Age - Age0) %>%
  arrange(NACCID, Years) %>%
  tidyr::fill(all_of("Initial Dx"), .direction = "down") %>%
  pivot_longer(Memory:Language) %>%
  filter(!is.na(value), !is.na(Years), !is.na(NACCUDSD))

ggplot(pd, aes(x=Years, y=value)) +
  geom_point(aes(color = Etiology), alpha=0.1) +
  geom_density(aes(y = value, 
    x = after_stat(-scaled)), 
    color = "darkgray", fill = "gray", alpha = 0.3, 
    orientation = "y", inherit.aes = FALSE) +
  scale_x_continuous(labels = function(x) ifelse(x < 0, "", x)) +
  facet_grid(name ~ `Initial Dx`, scales = 'free_y') +
  guides(colour = guide_legend(override.aes = list(alpha=1))) +
  ylab('')

Spaghetti plot of harmonized cognitive scores.

ComBat Harmonization of tau PET (tracers)

Code
ggplot(dd %>% filter(!is.na(Tau_PET_ComBat)), 
  aes(x = Tau_PET, y = Tau_PET_ComBat, color = Tau_TRACER)) +
  geom_point() +
  geom_abline(intercept = 0, slope = 1, linetype = 'dashed')

ComBat transformed versus raw Tau PET data by tracer.

Publishing with NACC Data

See the author checklist for more information. If you use the NACCADRC R data package, please also cite (Donohue et al. 2026).

Funding

Work on this R package was funded by CLARiTI (NIH U01 AG082350). The NACC database is funded by NIA/NIH Grant U24 AG072122. SCAN was funded by NIA/NIH U24 AG067418. See naccdata.org for more information.

References

Donohue, Michael C, Kedir Hussen, Oliver Langford, Richard Gallardo, Gustavo Jimenez-Maggiora, Paul S Aisen, and Alzheimer’s Disease Neuroimaging Initiative. 2026. Alzheimer’s clinical research data via R packages: The alzverse.” Alzheimer’s & Dementia 22 (2): e71152. https://doi.org/10.1002/alz.71152.